با سلام
در تصویر پیوست شده شما نشانی از شکست وجود ندارد. با این وجود کد زیر شکست را نشان میدهد.
\documentclass{article}
%\usepackage[margin=2cm]{geometry}
\usepackage{amsmath}
\usepackage{xepersian}
\settextfont{Yas}
\setdigitfont{Yas}
\begin{document}
\begin{align*}
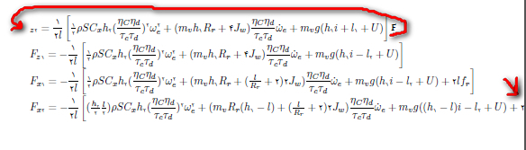
F_{z2} &=\dfrac{1}{2l}\left[\frac{1}{2}\rho S C_{x}h_{2}(\dfrac{\eta_{C}\eta_{d}}{\tau_{c}\tau_{d}})^{2}\omega_{e}^{2}+(m_{v}h_{1}R_{r}+4J_{w})\dfrac{\eta_{C}\eta_{d}}{\tau_{c}\tau_{d}}\dot{\omega}_{e}+m_{v}g(h_{1}i+l_{1}+U)\right]\\
F_{z1} &=-\dfrac{1}{2l}\left[\frac{1}{2}\rho S C_{x}h_{2}(\dfrac{\eta_{C}\eta_{d}}{\tau_{c}\tau_{d}})^{2}\omega_{e}^{2}+(m_{v}h_{1}R_{r}+4J_{w})\dfrac{\eta_{C}\eta_{d}}{\tau_{c}\tau_{d}}\dot{\omega}_{e}+m_{v}g(h_{1}i-l_{2}+U)\right]\\
F_{x1} &=-\dfrac{1}{2l} \biggl[\frac{1}{2}\rho S C_{x}h_{2}(\dfrac{\eta_{C}\eta_{d}}{\tau_{c}\tau_{d}})^{2}\omega_{e}^{2}+(m_{v}h_{1}R_{r}+(\frac{l}{R_{r}}+2)2J_{w})\dfrac{\eta_{C}\eta_{d}}{\tau_{c}\tau_{d}}\dot{\omega}_{e} \\
&\quad +m_{v}g(h_{1}i-l_{2}+U)+2lf_{r} \biggr] \\
F_{x2} &=-\dfrac{1}{2l}\biggl[(\frac{h_2}{2}\frac{l}{2})\rho S C_{x}h_{2}(\dfrac{\eta_{C}\eta_{d}}{\tau_{c}\tau_{d}})^{2}\omega_{e}^{2}+(m_{v}R_{r}(h_{1}-l)+(\frac{l}{R_{r}}+2)2J_{w})\dfrac{\eta_{C}\eta_{d}}{\tau_{c}\tau_{d}}\dot{\omega}_{e} \\
&\quad + m_{v}g((h_{1}-l)i-l_{2}+U)+2lf_{r}\biggr]
\end{align*}
\end{document}
با اجرای کد بالا، خروجی بهصورت زیر است.

توجه داشته باشید که
۱) چون میخواهید متن را داخل کروشه با اندازه متغیر بشکنید، دستورات خودکار \left و \right دیگر کار نمیکند و لازم است که اندازه کروشه را با دستوراتی نظیر \biggl و \biggr مشخص کنید.
۲) برای فرورفتگی خط شکسته از دستور \quad استفاده شده است.
پیروز باشید