برای اینکه آکولاد هم خودکار تنطیم شود میتوانید از دستور مشابه پرانتز یعنی \left\{ و \right\} استفاده کنید. برای اینکه پرانتز را در سطری باز کنید و در سطر دیگر آن را ببندید میتوانید در انتهای سطر اول \right. بگذارید و در ابتدای سطر بعدی \left. و در آخر این سطر \right) قرار دهید. البته این کار زمانی جواب میدهد که حداکثر ارتفاع عبارت داخل پرانتز در هر دو سطر یکسان باشد که در اینجا نیز چنین است. اگر اینطور نباشد باید دستور \vphantom استفاده شود (این لینک را ببینید).
کد مورد نیاز شما:
\documentclass{article}
\usepackage{amsmath}
\usepackage{xepersian}
\settextfont{Yas}
\setdigitfont{Yas}
\begin{document}
\begin{equation*}
\begin{aligned}
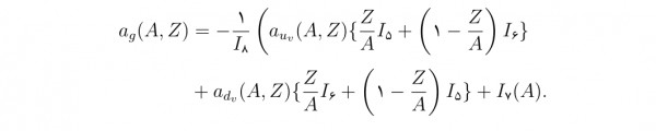
a_{g}(A,Z)&=-\frac{1}{I_{8}}\left(a_{u_{v}}\left(A,Z\right)\left\{\frac{Z}{A}{I_{5}}+\left(1-\frac{Z}{A}\right){I_{6}}\right\}\right.\\
&+\left.a_{d_{v}}\left(A,Z\right)\left\{\frac{Z}{A}{I_{6}}+\left(1-\frac{Z}{A}\right){I_{5}}\right\}+I_{7}\left(A\right)\right).
\end{aligned}
\end{equation*}
\end{document}
نتیجه:
