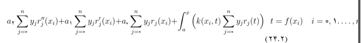
فرمول که نوشتم قسمت آخرش خارج صفحه میافته میخوام در یک خط باشه
7.2k پرسش
6.6k پاسخ
23.5k نظر
8.8k کاربر
محصولات مرتبط با LaTeX
در فروشگاه پارسیلاتک
حمایت مالی از پارسیلاتک
برای تامین هزینههای نگهداری و بهروزرسانی