سلام
نخست این که در هر پرسش باید تنها و تنها یک پرسش مطرح بشه بنابراین پرسش دوم رو در قالب یک پرسش جدید مطرح کنید.
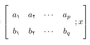
دوم، پاسخ پرسش نخستتون اینه که میتونید از محیط array استفاده کنید:
\documentclass{article}
\usepackage{amsthm,amssymb,amsmath}
\begin{document}
\begin{equation*}
\left[
\begin{array}{ccccc}
a_1& a_2& \dots& a_p & \\
& & & & ;x \\
b_1& b_2& \dots& b_q &
\end{array}
\right]
\end{equation*}
\end{document}

پیروز باشید.