سلام
لطفاً در ارسال سوال، کد را انتخاب کنید و با کلیدهای ترکیبی ctrl+k
آن را به صورت مناسب در سایت درج کنید (اصلاح کردم).
با توجه به دستورات شما محیط الاین محیط مناسبی نیست. من محیط gather
را پیشنهاد میدهم. البته از محیط داخلی آن به نام gathered
در محیط equation
جهت درج شماره استفاده میکنم.
از بستههای xcolor
و hyperref
جهت ایجاد لینک پرشی رنگی برای ارجاع آن استفاده کردهام.
دستورات شما مطابق زیر است:
\documentclass[12pt]{book}
\usepackage{amsmath}
\usepackage{xcolor}
\usepackage[pagebackref=false,colorlinks,linkcolor=magenta,citecolor=magenta]{hyperref}
\usepackage[logo=on]{xepersian}
\settextfont{Yas}
\begin{document}\null\vfill
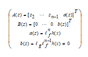
\begin{equation}\left(
\begin{gathered}
A(z) = \left[z_{2} \quad \cdots \quad z_{n-1}\quad a(z)\right]^{T}\\
B(z) = \left[0 \quad \cdots\quad 0 \quad b(z)\right]\\
a(z)=l_{f}^{n}h(x)\\
b(z) = l_{g}l_{f}^{n-1}h(x)\neq 0
\end{gathered}\label{eq.11}
\right)
\end{equation}
بنا به
\eqref{eq.11}
داریم:....
\end{document}
خروجی شما با نسخهی اولیه از تکلایو 2018 مطابق زیر است:

موفق باشید.