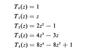
سلام، معادلات و شکل پیوست مربوط به پنج چندجملهای اول چبیشف است. من میخواستم این معادلات را مطابق شکل پیوست رسم کنم.
ویرایش
من این شکل را با کد زیر رسم کردم
\documentclass[openany,11pt]{book}
\usepackage{pgf,tikz}
\usepackage{pgfplots}
\usepackage{xepersian}
\settextfont[Scale=1]{XB Niloofar}
\setdigitfont[Scale=1]{Parsi Digits}
\begin{document}
\begin{LTR}
\begin{tikzpicture}
[line cap=round,line join=round,x=3cm,y=3cm,]
\draw[-latex,color=dark] (-1.1,0) -- (1.1,0);
\foreach \x in {,-1,-0.75,-0.5,-0.25,0.25,0.5,0.75,1}
\draw[shift={(\x,0)},color=darkgray,] (0pt,1pt) -- (0pt,-1pt)
node[below] {\footnotesize $\x$};
\draw[-latex,color=dark] (0,-1.1) -- (0,1.1);
\foreach \y in {,-1,-0.75,-0.5,-0.25,0.25,0.5,0.75,1}
\draw[shift={(0,\y)},color=dark,] (1pt,0pt) -- (-1pt,0pt)
node[left] {\footnotesize $\y$};
\draw[dashed, samples=1000, domain=-1:1,]
plot(\x,{1}) node [ ]{};
\draw (0.7,1)node[] {$T_{0}(x)$};
\draw[dotted, samples=1000, domain=-1:1,]
plot(\x,{\x}) node []{};
\draw (0.7,0.8)node[] {$T_{1}(x)$};
\draw[thick, plused, samples=1000, domain=-1:1,]
plot(\x,{2*\x^{2} -1}) node [ ]{};
\draw (0.7,0.3)node[] {$T_{2}(x)$};
\draw[domain=-1:1,]
plot(\x,{4*\x^{3} -3*\x}) node []{};
\draw (0.25,-0.5)node[] {$T_{3}(x)$};
\draw[samples=1000, domain=-1:1,]
plot(\x,{8*\x^{4}-8*\x^{2}+1}) node [ ]{};
\draw (-1,0.3)node[] {$T_{4}(x)$};
\end{tikzpicture}
\end{LTR}
\end{document}

الان مشکل من اینه که چطور میشه سایر منحنی ها را با دایره کوچک و علامت ضربدر کوچک و نظایر آن رسم کرد؟و همچنین چرا منحنی T3 شکستگی داره؟