با سلام
برای به دست آوردن شکل مورد نظر می توانید از شکل بیضی استفاده کنید همچنین برای ایجاد خط روی یک یال از \_ استفاده کنید.
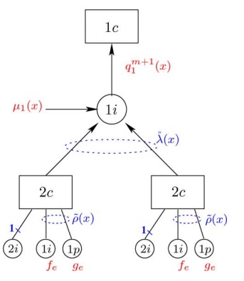
پاسخ به صورت زیر خواهد بود:
\documentclass[a4paper,12pt]{report}
\usepackage{tikz,amsmath,amssymb}
\tikzstyle{vertex}=[circle, draw, inner sep=0pt, minimum size=12pt]
\newcommand{\vertex}{\node[vertex]}
\tikzstyle{vertexs}=[draw,minimum width=.4cm,minimum height=.4cm]
\newcommand{\vertexs}{\node[vertexs]}
\begin{document}
\begin{figure}[htbp]
\begin{tikzpicture}[scale=1,thick,>=stealth]
\vertex (a1) at (0,0) []{};
\vertexs (b1) at (0,-1) []{};
\vertex (a2) at (-1.2,-2) []{};
\vertex (a3) at (-.6,-2) []{};
\vertex (a4) at (0,-2) []{};
\vertex (a5) at (.6,-2) []{};
\vertex (a6) at (1.2,-2) []{};
\draw [->] (b1) -- (a1);
\draw [->] (a2) -- (b1);
\draw [->] (a3) -- (b1);
\draw [->] (a4) -- (b1);
\draw [->] (a5) -- (b1);
\draw [->] (a6) -- (b1)node[near start,rotate=40, ultra thick]{\_};
\draw (0,-1.5) [dotted,very thick,blue] ellipse(.95cm and 0.12cm)node[xshift=9mm,yshift=3mm]{y};
\end{tikzpicture}
\caption{\label{fig:sym}گراف}
\end{figure}
\end{document}
نتیجه به صورت زیر خواهد بود:

برای به دست آوردن اطلاعات بیشتر به راهنمای بسته tikz مراجه کنید.