سلام
این که شما بخواهید همزمان فرمولها از دو طرف تراز شوند گمان نمیکنم چنین چیزی ممکن باشد . حتی اگر هم ممکن باشد ظاهری نازیبا به فرمول شما خواهد داد. بنده اگر جای شما بودم به صورت زیر عمل میکردم:
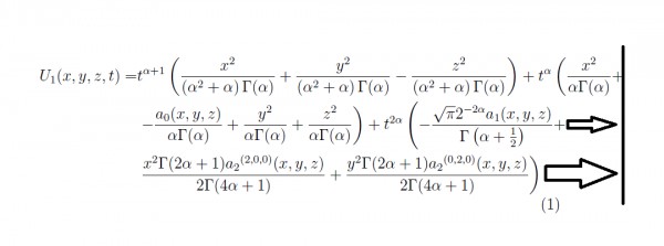
\begin{flalign}\label{5.16}
U_{1}(x,y,z,t) = & t^{\alpha +1} \left(\frac{x^2}{\left(\alpha ^2+\alpha \right) \Gamma (\alpha )}+\frac{y^2}{\left(\alpha ^2+\alpha \right) \Gamma (\alpha )}-\frac{z^2}{\left(\alpha ^2+\alpha \right) \Gamma (\alpha )}\right)&\nonumber\\
\ &+t^{\alpha }\left(\frac{x^2}{\alpha \Gamma (\alpha )}+ -\frac{a_0(x,y,z)}{\alpha \Gamma (\alpha )}+\frac{y^2}{\alpha \Gamma (\alpha )}+\frac{z^2}{\alpha \Gamma (\alpha )}\right) &\nonumber\\
\ \ \ & +t^{2 \alpha }\left(-\frac{\sqrt{\pi } 2^{-2 \alpha } a_1(x,y,z)}{\Gamma \left(\alpha +\frac{1}{2}\right)}+\frac{x^2 \Gamma (2 \alpha +1) a_2{}^{(2,0,0)}(x,y,z)}{2 \Gamma (4 \alpha +1)}\right. \nonumber \\
& \hspace{58mm} \left. +\frac{y^2 \Gamma (2 \alpha +1) a_2{}^{(0,2,0)}(x,y,z)}{2 \Gamma (4 \alpha +1)}\right)
\end{flalign}
که خروجی آن به صورت زیر است:

پیروز باشید.