بسته های amscd و xy را ببینید. من با tikz-cd امتحان کردم.
\documentclass{article}
\usepackage{amsmath,tensor}
\usepackage{tikz-cd}
\usepackage{xepersian}
\settextfont{HM XZar}
\newcommand{\verteq}{\rotatebox{90}{=}}
\begin{document}
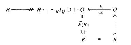
\begin{tikzcd}[row sep=tiny]
H \arrow[r, twoheadrightarrow, "\phi"]
& H\cdot 1= \tensor[_H]{I }{_Q} \supset 1\cdot Q \arrow[rr, leftarrow, "\epsilon", "\cong"'] & & Q \arrow[dddd, rightarrowtail]\\
& \hspace*{3cm} \verteq & & \\
&\hspace*{3cm} E(R) & &\\
&\hspace*{3cm} \cup & &\\
&\hspace*{3cm} R & = & R
\end{tikzcd}
\end{document}
خروجی به شکل زیر خواهد بود:
