اولین بار است که به اینجا می‌آیید؟ راهنمای سایت را بخوانید!
0 رای
4.5k بازدید

با سلام و احترام
برای نوشتن فرمول چند ضابطه ای از کد زیر استفاده کردم ولی به شکلی که در پیوست قرار دادم نشد. لطفاً راهنمایی ام کنید

    ‎‎ ‎\begin{equation*}‎‎
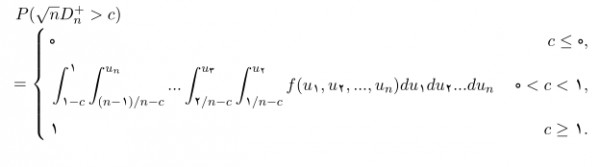
 ‎‎P(\sqrt{n}D_{n}^{+}>c)‎\right \\ ‎=\left\{
‎\begin{aligned}‎ 
        ‎&0 &‎\qquad c‎\leq ‎0‎ \vspace{.15cm},\\
         ‎&‎\int‎‎_{1-c}‎^{1}‎\int‎‎_{(n-1)/n-c‎}‎^{u‎_{n}‎}...‎\int‎‎_{2/n-c‎}‎^{u‎_{3}‎}‎\int‎‎_{1/n-c‎}‎^{u‎_{2}‎}f(u‎_{1},u‎_{2},...,u‎_{n})du‎_{1}du‎_{2}...du‎_{n}‎‎ ‎‎ & 0‎<c‎<1‎‎\vspace{.15cm},\\‎
        ‎&1 &\qquad c‎\geq 1‎.
‎\end{aligned}‎
\right 
‎‎\end{equation*}

ویرایش

\begin{align*}
&P(\sqrt{n} D_n^ +  > c)\\
& = 
 \begin{cases}
0    &    c \le 0\\
\int_{1 - c}^1 \int_{(n - 1)/n - c}^{u_n} ...\int_{2/n - c}^{u_3}‎
 \int_{1/n - c}^{u_2} f(u_1, u_2, \ldots, u_n) d u_1du_2 \ldots du_n &  0 < c < 1\\
1   &    c \ge 1
\end{cases}
\end{align*}‎‎‎

ویرایش

\begingroup\makeatletter\def\f@size{10}\check@mathfonts‎ \begin{align*} &P(\sqrt{n} D_n^ + > c)\\ & = \begin{cases} ‎\LR {$‎‎0‎$‎} &\hspace*{0.1cm} c \le 0\\ \int_{1 - c}^1 \int_{(n - 1)/n - c}^{u_n} \cdots \int_{2/n - c}^{u_3} \int_{1/n - c}^{u_2} f(u_1, u_2, \ldots, u_n) d u_1du_2 \ldots du_n &‎\hspace*{0.1cm}‎ 0 < c < 1\\ \LR {‎$‎1‎$‎} &\hspace*{0.1cm} c \ge 1 \end{cases} \end{align*} ‎\endgroup‎

فایل(های) پیوست:
فرمول چند ضابطه ای.png
فرمول با 4 روش.png

2 پاسخ

0 رای
 
بهترین پاسخ

در فایلی که ضمیمه کرده اید، فرمول اولی در محیط ریاضی نیست. آن را در یک محیط مثل \[.......\] یا غیره قرار دهید.
اما در مورد روش های دیگر برای انجام این کار، در کد زیر من به 4 روش این کار را انجام داده ام. روشهای سوم و چهارم به بسته graphicx نیاز دارند و در آنها با استفاده از \resizebox{\textwidth} اندازه فرمول به اندازه عرض متن شما تغییر خواهد کرد.

\documentclass{article}
\usepackage{graphicx}
\usepackage{amsmath}
\usepackage{xepersian}
\settextfont{Yas}
\setdigitfont{Yas}


\begin{document}
%%%روش اول
‎\[
P(\sqrt{n} D_n^ +  > c)
 = 
 \begin{cases}
0    &    c \le 0\\
\int_{1 - c}^1 \int_{(n - 1)/n - c}^{u_n} \cdots \int_{2/n - c}^{u_3} \int_{1/n - c}^{u_2} f(u_1, u_2, \ldots, u_n) d u_1du_2 \cdots du_n &  0 < c < 1\\
1   &    c \ge 1
\end{cases}
‎‎\]

%%%روش دوم


\begin{align*}
&P(\sqrt{n} D_n^ +  > c)\\
& = 
 \begin{cases}
0    &    c \le 0\\
\int_{1 - c}^1 \int_{(n - 1)/n - c}^{u_n} \cdots \int_{2/n - c}^{u_3} \int_{1/n - c}^{u_2} f(u_1, u_2, \ldots, u_n) d u_1du_2 \ldots du_n &  0 < c < 1\\
1   &    c \ge 1
\end{cases}
\end{align*}


%%%روش سوم

‎\[\resizebox{\textwidth}{!}{
$
P(\sqrt{n} D_n^ +  > c)
 = 
 \begin{cases}
0    &    c \le 0\\
\int_{1 - c}^1 \int_{(n - 1)/n - c}^{u_n} \cdots \int_{2/n - c}^{u_3} \int_{1/n - c}^{u_2} f(u_1, u_2, \ldots, u_n) d u_1du_2 \cdots du_n &  0 < c < 1\\
1   &    c \ge 1
\end{cases}
$}
‎‎\]


%%%روش چهارم

‎\[\resizebox{\textwidth}{!}{
$
\begin{aligned}
&P(\sqrt{n} D_n^ +  > c)\\
& = 
 \begin{cases}
0    &    c \le 0\\
\int_{1 - c}^1 \int_{(n - 1)/n - c}^{u_n} \cdots \int_{2/n - c}^{u_3} \int_{1/n - c}^{u_2} f(u_1, u_2, \ldots, u_n) d u_1du_2 \ldots du_n &  0 < c < 1\\
1   &    c \ge 1
\end{cases}
\end{aligned}
$}
‎‎\]
\end{document}

enter image description here

نکته ای که در نهایت باید بگویم و خودم هم آن را رعایت نکرده ام این است که d در انتگرال ها نباید ایتالیک باشد؛ چون یک عملگر است و متغییر نیست.

ممنون از اینکه برای رفع مشکلم وقت گذاشتین.
توسط (23 امتیاز)
ارورهای فایل‌تون را بگیرین، باید درست بشه.
توسط (7.6k امتیاز)
با سلام
با کمک روش دوم آقای موسوی با اعمال تغییراتی، که آن رادر متن سوالم قرار دادم به نتیجه رسیدم. یه دنیا ممنون از راهنمایی خوبتون
ویرایش شده توسط
توسط (23 امتیاز)
+1 رای

بنده معادله شما را بازنویسی کردم، به نظر بنده این نگارش راحت‌تر و مناسب‌تر است. پاسخ به صورت زیر است:

‎\begin{equation*}‎‎
\begin{array}{l}
P(\sqrt n D_n^ +  > c)\\
 = \left\{ {\begin{array}{*{20}{lr}}
0&{c \le 0,}\\
{\int_{1 - c}^1 {\int_{(n - 1)/n - c}^{{u_{_n}}} { \cdots \int_{2/n - c}^{{u_{_3}}} {\int_{1/n - c}^{{u_{_2}}} {f({u_{_1}},{u_{_2}}, \cdots ,{u_{_n}})d{u_{_1}},d{u_{_2}}, \cdots ,d{u_{_n}}} } } } }&{0 < c < 1,}\\
1&{c \ge 1.}
\end{array}} \right.
\end{array}
‎‎\end{equation*}‎‎

enter image description here

فشرده می کنم بازم حجمش زیاده نمیتونم ارسالش کنم.
کل کدی رو که در پاسخم قرار دادین کپی کردم و چیزی رو جا نذاشتم.
روش خودمم جواب میده ولی اینکه تو رفتگی اول" به طوریکه" رو میخوام از بین ببرم به هم ریختگی ایجاد میشه.
ممنونم از شما
توسط (23 امتیاز)
لازم نیست کد کمینه همه نوشته های شما را در بر داشته باشد. شما کل فایل را در یک فولدر جداگانه کپی کنید نوشته های اضافی را حذف کنید. فایل های مورد نیاز باشند. بعد یک اجرا بگیرید ، اگر اجرا شد، آن را فشرده کرده ضمیمه کنید. بنده با اضافه کردن دشتوراتی فایل شما را اجرا کردم اما مشکلی که شما می فرمایید بوجود نمی آید. کد شما خطا هم دارد، مثلا همین معادله صورت سوال در کد begin{equation}\ و end{equation}\ یا چیزی شبیه این ندارد.
توسط (1.6k امتیاز)
متاسفانه نتونستم حجمشو با rar خیلی کم کنم تا بتونم ارسالش کنم.
تووی دستوری که در پیوست قرار دادم با قرار دادن‎\begin{equation}
 و \end{equatio} عبارت قبل از تساوی از سمت راست تراز میشه برای همین این دستورو قرار ندادم.‎‎دیگه نمیدونم چی بگم.بهتره بیشتر روش فکرکنم.
ازتون بی نهایت ممنونم.
توسط (23 امتیاز)
پرسیدن سوال
سایت پرسش و پاسخ پارسی‌لاتک جایی برای پرسش و پاسخ درباره سیستم حروف‌چینی لاتک و بسته زی‌پرشین است. در اینجا می‌توانید سوال‌های خود را بپرسید و به سوال‌های دیگران پاسخ دهید.

7.2k پرسش

6.6k پاسخ

23.5k نظر

8.8k کاربر

basket cart icon

محصولات مرتبط با LaTeX

در فروشگاه پارسی‌لاتک


basket cart icon

حمایت مالی از پارسی‌لاتک

برای تامین هزینه‌های نگه‌داری و به‌روزرسانی

محبوب‌ترین برچسب‌ها

رفع خطا جدول xepersian مراجع ریاضی‌نویسی bidi شکل فونت فهرست مطالب شماره‌گذاری منابع پانویس بیب‌تک tikz parsilatex تک‌لایو بیمر اسلاید زی‌پرشین پاورقی bibtex سربرگ نماد رسم شکل فرمول‌نویسی ارجاع‌دهی biditexmaker هدر ویرایشگر قالب beamer واژه‌نامه اندازه فونت texstudio عنوان فصل ماتریس اعمال نشدن تغییرات در پی‌دی‌اف رسم جدول شماره صفحه bidipresentation حاشیه رنگ عنوان شکل اسلاید فارسی محیط قضیه گراف مکان شکل tikzpicture enumerate حروف‌چینی کد شماره فصل tabriz_thesis نمایه align زیرنویس شکل کادر itemize فهرست اشکال الگوریتم عدم اجرا listings نیم‌فاصله متن لاتین و فارسی بسته فاصله بین خطوط قالب پایان‌نامه hyperref فرمول نصب تک‌لایو فارسی‌تک شماره فرمول glossaries کپشن نمودار خروجی لاتک حروف‌چینی چندستونی فونت فارسی و انگلیسی ماکرونویسی extrafootnotefeatures biditools شماره پاورقی پیوست‌ سوال امتحانی فاصله‌گذاری فرمول چندضابطه‌ای subfigure biditufte-book header texmaker pdf خطا tex longtable تصویر شمارنده زیرنویس texlive2015 دیاگرام رسم نمودار شماره‌گذاری صفحات پایان نامه فهرست جداول میک‌تک texlive2016 شعر تنظیم جدول بولد آکولاد kashida تورفتگی texworks caption اندیس اعداد فارسی lollipop iust-thesis multicol فصل‌نویسی سوال چهارگزینه‌ای فاصله عمودی pgfplots xindy چپ‌چینی اوبونتو میکروسافت ورد قاب geometry xelatex texlive کاما fancyhdr وسط‌چینی تک لایو 2015 tcolorbox عنوان بخش شماره گذاری به‌روزرسانی بسته aimc46 صفر توخالی فرمول طولانی بیرون‌زدگی پوستر فاصله سطرها نوشتافت شکست خط tex-programming فونت اعداد قرآن tabriz-thesis ایتالیک winedt font جستجوی معکوس فلش جایابی تصویر فهرست تصاویر قالب کتاب پاراگراف‌بندی بازیابی اطلاعات هایپرلینک فهرست نمادها شمارنده فصل محیط ریاضی رسم کادر bidipoem جداکننده جدول طولانی به‌روزرسانی شماره‌گذاری فرمول algorithm2e proof equation eps جدول افقی عکس متن فارسی و انگلیسی پانویس چندستونی کمک مالی فاصله خطوط حروف‌چینی شعر فونت بولد زیرشکل minipage قلم پانویس پاراگرافی ltrfootnote پیوست computeautoilg فرمول چندخطی neveshtuft غلط‌گیری املایی تک‌پارسی پیکان لاتکس tabular baselineskip شماره قسمت قسمت عنوان جدول
...