تمامی اسنادی که از بسته زیپرشین استفاده میکنند باید با xelatex شوند --نمیدانم چرا طراح بسته عبارتی که تاکید دارد با pdflatex یا latex کامپایل شود را تغییر نداده است!--
احتمالا باید قلم Parsi Digits را نداشته باشید لذا یا این قلم را نصب کنید و یا اینکه در دستور \setdigitfont که در خط ۳۳ آمده است نام قلم را تغییر دهید --توجه داشته باشید که کوچک و بزرگی حروف نیز مهم است--.
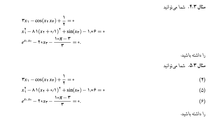
برای نمونه به بخش زیر که اعداد درمتن ریاضی استفاده شده است توجه فرمایید که بدون هیچ مشکلی نشان داده میشود.
